[ search for ]        
【-首-页-】>>> -3【研习】- -4【游玩】- -5【相关】- -【A】 【B】-
 


【数据结构-树与二叉树】医院设置

【题目描述】

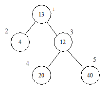
设有一棵二叉树(如图3-8,其中圈中的数字表示结点中居民的人口,圈边上数字表示结点编号。现在要求在某个结点上建立一个医院,使所有居民所走的路程之和为最小,同时约定,相邻结点之间的距离为1。就本图而言,若医院建在1处,则距离和=4+12+2*20+2*40=136;若医院建在3处,则距离和=4*2+13+20+40=81…

【输入】

第一行一个整数n,表示树的结点数(n≤100)。接下来的n行每行描述了一个结点的状况,包含三个整数,整数之间用空格(一个或多个)分隔,其中:第一个数为居民人口数;第二个数为左链接,为0表示无链接;第三个数为右链接,为0表示无链接。

【输出】

一个整数,表示最小距离和。

【输入样例】

5
13 2 3
4 0 0
12 4 5
20 0 0
40 0 0

【输出样例】

81

参-考-解-题-代-码:
 

Powered by 孙会中 @ 2024-2026【 www.sunhuizhong.cn 】All rights reserved

访问统计:386183 本月:281 上月:799 今日:1 昨日:7 当前在线:1人